Need help choosing the right product?
Our tool will match the best product to your needs
Launch product selectorWelcome to the Australia Website
We have detected that you may prefer the Global site. Please use the language dropdown above to change your selection if required.
Published in Glass Performance Days, 2009.
René Meuleman
Eurotherm BV, Genielaan 4, 2404 CH Alphen ad Rijn, Netherlands
Keywords 1= energy savings 2= electrical heating 3= boosting 4= improved cos φ
In co-operation with leading glass manufactures Eurotherm have developed a new electric power control system called EPower. The system is based on a control (CPU) module which is capable of controlling up to 4 power stacks in a “PLC-like” layout design. Up to 63 control modules can be tied together by a fast network (CAN-bus) to become a large scale intelligent power control system allowing the user to run the patented “Predictive Load Management” strategy (PLM©). Such a system is able to run large scale heating installations, like glass bending lines, tempering furnaces and autoclaves in an almost constant power demand mode, preventing load peaks and spikes.
In applications where manufactures have to control multiple loads the load management features of EPower will give these users a better control over their peak power demands. In many countries the monthly peak power demand is a critical factor in the cost that the end users have to pay for electrical energy. Our lecture will explain in detail how PLM (predictive load management) works and what it is capable of in large scale electrical heating system installations, such as glass processing control and energy management.
In multiple full cycle firing1 load applications, like the operation of several bending or laminating furnaces and annealing lehrs, peak power demands are likely to occur if no special measures are taken. In multiple load situations were phase angle firing is used the whole facility may suffer from a poor power factor (cos φ). Both, high peak power demands as well as poor power factor will lead to higher energy cost and increased CO2 emissions.
Most utility companies apply a surcharge when the power factor goes below 0.9 (or 90%) or if agreed maximum power demands are exceeded. By the end of the year this can translate in thousands or even tens of thousands of dollars, depending on the size of the installation.
The “demand charge” represents the cost per kW multiplied by the greatest 15-minute demand reached in kW during the month for which the bill is rendered; however the demand is subject to power factor adjustments. Electric power suppliers reserve the right to measure such power factors at any time. Should measurements indicate that the average power factor is less than 90%; the adjusted demand will be the demand as recorded by the demand meter multiplied by 90% and divided by the percent power factor. Next to that, unnecessary power systems hardware investments are needed to cover those peak power demands.
Predictive Load Management (PLM) is able to eliminate those full cycle firing drawbacks resulting in more effective performance through load balancing and load shedding strategies. In most of the applications EPower makes it possible to switch from phase angle firing into full cycle firing mode. If phase angle firing is still necessary, LTC (Load Tap Changing) strategies are able to potentially increase the power factor.
Electrical heating systems such as glass furnace boosting, fibre and insulation glass bushings, tin bath heating systems normally uses SCR2 (semi conducting rectifier) controllers, firing in phase angle mode. Phase angle firing typically degrades the power factor while increasing harmonics and electrical noise.

With phase angle firing, the power factor decreases rapidly with output power. At 50% power, the power factor is only 0.7. At 25% power, the same power factor decreases even more to 0.5. Moreover, phase angle firing creates all sorts of disturbances on the grid, such as harmonics, RFI, line losses, energy waste (kVAr) and transformer overheating. The manufacturer will eventually be forced to increase the capacity of their equipment to compensate for these disturbances, for example by installing active or passive systems such as costly capacitors. Concluding; Phase angle firing is a simple and smooth way to control power demands with SCR’s. It has two major disadvantages; poor power factor and lots of harmonics.
There are two effective methods to improve power factor in SCR driven power control systems.
Load tap changing
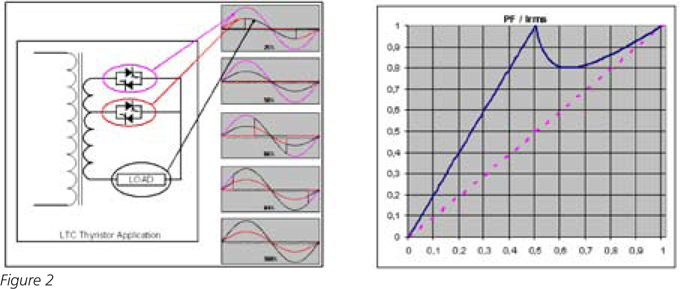
Although it is outside the scope of this abstract we need to spend some time understanding how on load tap changing provides an effective way of increasing power factor of an SCR driven power system. An LTC system will use either phase angle or burst firing. By adding several taps to the transformer with dedicated SCR’s for each tap together with overlapping firing orders, such a system is capable of running at an increased power factor over a much larger range when using phase angle firing.
The example in figure 2 shows a two tap LTC configuration running in phase angle mode and corresponding improved power factor of such a system. By adding more taps the power factor performance increases. At the design state it is of course necessary to have clear understanding of the overall voltage range and the daily voltage operation range, as the best power factor can only be achieved by carefully calculating the tap-voltages. For more information on LTC please review the LTC white paper.

Full cycle firing
The easiest way to increase the power factor is to switch from phase angle to burst firing, also called zero cross or full cycle firing. In this firing mode a modulation period is defined and inside such a modulation period the SCR is modulated with single or multiple full cycles according to the power demand.
The figure 3 shows a comparison between a single SCR power system running in phase angle mode and full cycle firing mode at respectively 25%, 50% and 75% of the maximum power. Theoretically full cycle firing will result in a power factor of 1 but due to unavoidable inductive loads, like transformers, wiring etc such a system will have an overall power factor >0.9. In fact those systems will run at the highest achievable power factor whilst avoiding the phase angle influences on the overall power factor.


Unfortunately, full cycle firing could introduce a flicker effect (main voltage variation) which in turn could affect motors and create a visual disturbance (light flicker, similar to fluorescent lights). This effect can become more severe in multiple SCR controlled zones like tin bath heating, lehr and bushing controls. Those systems can easily contain more then 40 zones running at different power levels and variable set points. If not properly monitored, this may lead to high uncontrolled peaks of power.
Thus; many zones, randomly fired in time will increase the random peak power consumption and eventually, may exceed the designed total power capacity of the installation resulting in possible overloads perhaps even possible black-outs. The opposite is fortunately also valid; designed total power capacity could be decreased by preventing peak power demands resulting in less initial system’s investments.
In Conclusion: the major power factor benefits of the full cycle firing mode is such a big advantage that methods need to be developed to overcome the peak power related problems. One of the most sophisticated methods is our recently developed “Predictive Load Management”.
Two key strategies are included in the PLM function: Load Balancing (or Load Sharing) and Load Shedding. Overall the load balancing strategy is the most important part of PLM to combine multiple SCR’s that are full cycle firing together with a stable overall power demand.
Load balancing is a strategy of equally distributing power of different loads to obtain an overall power consumption as stable and balanced as possible thus eliminating peaks of power. Each heating zone controlled by an SCR controller, is defined by an output power, cycle time and a maximum power (max capacity), which can be pictured as a rectangle. Rather than letting these rectangles pile up randomly, the PLM equipped controller uniformly distributes them thereby ensuring that at any given moment the overall power is as stable and balanced as possible. It is important to understand that the PLM function does not change the output power but rather balances and shifts the power evenly thereby eliminating any disturbance. The result is optimum load management through intelligent load balancing and load sharing, a strategy that will eliminate peaks and flicker and even the out overall power usage.
By using the PLM function, manufacturers are now able to use zero cross firing for their system without any drawbacks. Eliminating Phase Angle firing significantly improves the power factor which in turn results in substantial savings.
Additionally, using energy more efficiently (i.e. substantially decreasing the reactive power (KVAR) results in less power generated by the utility company. In fact, we should consider that consuming reactive power is in the end simply a waste of energy. While a bad power factor forces the utility company to generate this extra reactive power, it will be of absolutely no use to the end user. Besides saving costs, implementing a best practice of efficient energy consumption also results in considerably less CO2 emissions released in the atmosphere.
The shedding function allows limiting and shifting the overall energy consumption all together or with fully adjustable user-defined priorities. Adjustments can be made through fieldbus communication (Profibus, DeviceNet and Ethernet) enabling dynamic adjustments in view of current ON peak period surcharges.

While an efficient load strategy can result in substantial savings and an improved environment, using synchronized SCR’s will drastically increase the quality of the main supply. As described above, eliminating phase angle will remove harmful harmonics and RFI3 generation, which for example could disturb the IT infrastructure or
overheat transformers.
For customers already using full cycle firing, the PLM function achieves constant perfect power balance without the flicker effect. Moreover, PLM can be of critical importance in installations where the overall installed power of the heating elements exceeds the capacity of the main transformer. In such cases non-synchronized firing may result in a total black out caused by tripped overloaded main circuit breakers. The PLM function will avoid heavy peaks of power that could overload the system by constantly monitoring and balancing the firing.
Load sharing, based on predictive strategies, will allow a substantial cost savings for our customers. However, proper calculation of the savings can only be made when details of the rates and conditions of the supply chain are fully known.
In addition, the possible savings in the price for the connection to the grid are significant, but our customers can only realise the full benefit if they consider an EPower solution at the early design stage .before the capacity of the connection has been determined.
Many companies will have an energy manager or a specialized purchaser that knows the complexity of its company energy usage and associated costs. Both technical and purchasing personnel need to work together to find a valid technical solution to reduce energy consumption and CO2 emissions without impact on production yield or quality.

Improving the power factor, controlling the demand charge and reducing peak consumption during ON peak times can result in substantial savings. In addition the PLM function helps to improve the quality of the main power supply and also ultimately reduce CO2 emissions.
1. Full cycle firing is also called burst firing mode
2. Semi conductive rectifier
3. Radio Frequency Interference
Acknowledgements
The author would especially like to thank Yves Level, Mikael Le Guern, Gregoire Quere, Frank Kraan and all Eurotherm EPower team for their continuous support and contributions to this abstract.
Invensys, Eurotherm, EPower, E logo, Action Instruments, Chessell, and Continental are trademarks of Invensys plc, its subsidiaries and affiliated companies. All other brands may be trademarks of their respective owners.
References
Product Selector
Our tool will match the best product to your needs
Launch product selectorContact Us